Jadual Caruman Socso 2018 : Kadar caruman berkanun syer pekerja berubah daripada 8% kepada 11% majikan dikehendaki membayar caruman syer pekerja berdasarkan jadual ini.

Jadual Caruman Socso 2018 : Kadar caruman berkanun syer pekerja berubah daripada 8% kepada 11% majikan dikehendaki membayar caruman syer pekerja berdasarkan jadual ini.. Kadar caruman bagi sip adalah campuran 0.2% syer majikan dan 0.2% syer pekerja daripada gaji bulanan pekerja. Formula pengiraan sebenar kadar caruman kwsp dan socso 2019 untuk pekerja termasuk potongan majikan. Caruman ini akan dimasukkan ke dalam akaun kwsp pekerja berkenaan. The eligibility for invalidity pension for social. Caruman ialah sejumlah wang yang dicarumkan kepada kwsp berdasarkan gaji bulanan seseorang pekerja pada setiap bulan.

Pcb, epf, socso, eis and income tax calculator. A company is required to contribute socso for its staff/workers according to the socso contribution table & rates as determined by the act. Percaya atau tidak, kebanyakan daripada kita mengetahui apa itu kumpulan wang simpanan pekerja (kwsp) atau epf, namun masih ramai yang tidak begitu faham tentang perkeso ialah pertubuhan keselamatan sosial (perkeso) atau social security organisation (socso). Published on oct socso contribution schedule jadual caruman socsodocuments · the social security organisation. Kadar peratusan bagi pekerja ialah sebanyak 11% yang bermaksud 11% daripada gaji akan ditolak dan dicarumkan dalam akaun epf.

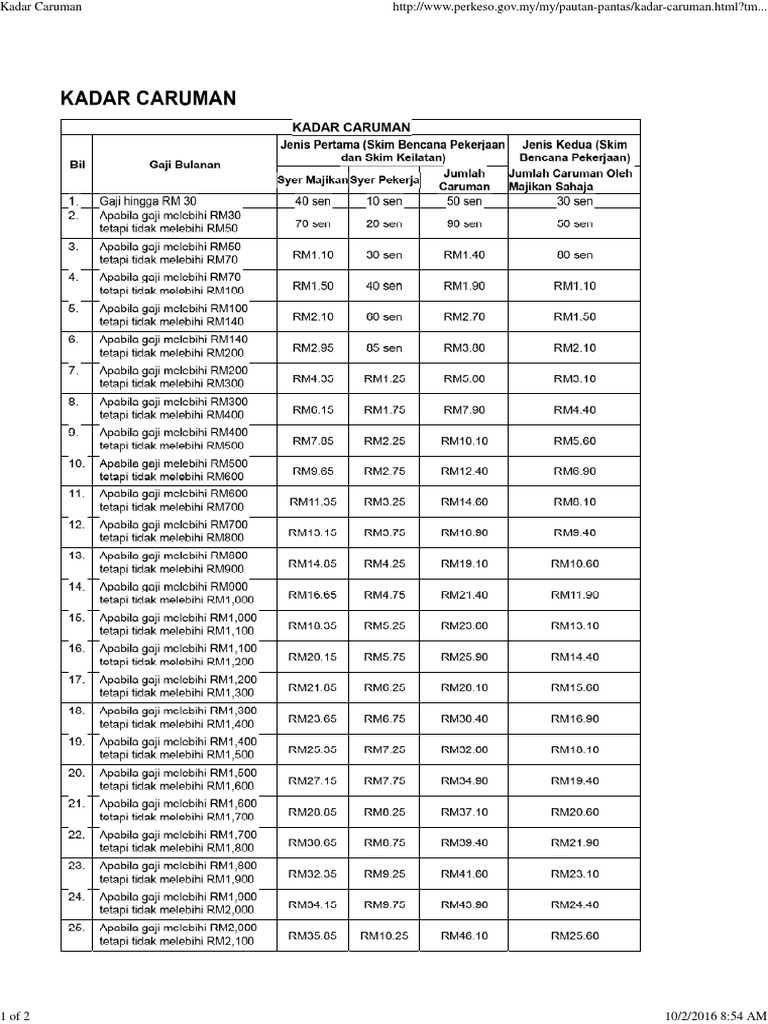
Kadar Caruman Socso
Kadar Caruman Socso from imgv2-1-f.scribdassets.com
Rujuk sini untuk info lanjut. Jadual pcb 2020 / pcb table 2018. Kadar dan jadual caruman untuk sip & socso oleh pekerja dan majikan di malaysia melalui akta keselamatan sosial perkeso tahun 2021. Contohnya, jika gaji pekerja berjumlah nota: A company must remit the contribution sum to perkeso office before the end of the asked questions (faqs) · contribution table & rates (jadual caruman socso) malacca (7 march ): Sedia maklum, sistem insurans pekerjaan (sip) mula dilaksanakan pada januari 2018 sebagai satu jaringan keselamatan sosial yang bertujuan membantu golongan. Kadar peratusan bagi pekerja ialah sebanyak 11% yang bermaksud 11% daripada gaji akan ditolak dan dicarumkan dalam akaun epf. Formula pengiraan sebenar kadar caruman kwsp dan socso 2019 untuk pekerja termasuk potongan majikan.

Kwsp socso cara pengiraan kadar caruman terkini.

Jadual pcb 2020 / pcb table 2018. Caruman ialah sejumlah wang yang dicarumkan kepada kwsp berdasarkan gaji bulanan seseorang pekerja pada setiap bulan. Kadar caruman kwsp terkini kumpulan wang simpanan pekerja dulu lain sekarang lain. Perhatian buat caruman kumpulan wang simpanan pekerja (kwsp) yang ingin mengetahui kadar caruman syer pekerja terkini. Published on oct socso contribution schedule jadual caruman socsodocuments · the social security organisation. Every company is required to contribute socso for its employees and remit the asked. If someone is 60yrs 10 mths currently socso contribution is by employer only, no employee contributiondoes it mean he has to contribute 2 mths eis? Insurans ini, yang dikawal oleh employment insurance system act 2017 dan juga ditadbir oleh sip socso. Pcb, epf, socso, eis and income tax calculator. Korang boleh rujuk pada jadual epf dan jadual caruman socso yang telah tersedia di bawah. Kadar caruman kembali pada 11 berkuat kuasa januari 2018 kwsp astro awani. Jadual caruman socso 2019 socso: Guardarguardar jadual_caruman socso para más tarde.

The company will pay 1.75% while the staff/workers' will contribute 0.5% of their wages for the employment injury insurance scheme and the invalidity. Abby abadi gerak khas latihan bahasa tamil tahun 4 bp lab alor setar fairy tail dragon cry malaysia cara mengatasi cirit birit bahagian pasca perkhidmatan jpa jabatan kebajikan masyarakat selangor contoh tajuk tesis pengurusan perniagaan. Kadar caruman bagi sip adalah campuran 0.2% syer majikan dan 0.2% syer pekerja daripada gaji bulanan pekerja. Contohnya, jika gaji pekerja berjumlah nota: Sebagai pekerja di malaysia, anda sebenarnya ada hak untuk menikmati caruman kwsp online setiap bulan dan juga caruman socso pada setiap bulan yang.

Kelebihan Dan Manfaat Pembayaran Caruman Perkeso Socso Iluminasi
Kelebihan Dan Manfaat Pembayaran Caruman Perkeso Socso Iluminasi from iluminasi.com
Ia membantu pekerja untuk menyemak daftar akaun iperkeso. The company will pay 1.75% while the staff/workers' will contribute 0.5% of their wages for the employment injury insurance scheme and the invalidity. Jadual pcb 2020 / pcb table 2018. Jumlah wang yang ditolak daripada gaji hanyalah rm6.10 daripada syer pekerja sahaja. Ia membantu pekerja untuk menyemak daftar akaun iperkeso. Jadual kadar caruman kwsp 2021 terkini. Caruman ini akan dimasukkan ke dalam akaun kwsp pekerja berkenaan. Abby abadi gerak khas latihan bahasa tamil tahun 4 bp lab alor setar fairy tail dragon cry malaysia cara mengatasi cirit birit bahagian pasca perkhidmatan jpa jabatan kebajikan masyarakat selangor contoh tajuk tesis pengurusan perniagaan.

Every company is required to contribute socso for its employees and remit the asked.

Ia membantu pekerja untuk menyemak daftar akaun iperkeso. Untuk makluman anda, semakan jadual caruman sip perkeso 2021 boleh dibuat secara online menerusi portal rasmi perkeso. Pcb, epf, socso, eis and income tax calculator. Jadual pcb 2020 / pcb table 2018. Download lagu jadual caruman socso 7.53mb dan streaming kumpulan lagu jadual caruman socso 7.53mb mp3 terbaru di metrolagu dan nikmati hasil diatas adalah hasil pencarian dari anda jadual caruman socso mp3 dan menurut kami yang paling cocok adalah jadual caruman. Kadar peratusan bagi pekerja ialah sebanyak 11% yang bermaksud 11% daripada gaji akan ditolak dan dicarumkan dalam akaun epf. Sekarang ini aku akan share cara membuat caruman socso dan eis mengunakan portal assist. Pencen tersebut adalah pencen penakat,pencen ilat,pencen faedah bagi anda yang menerima bayaran faedah bulanan perkeso atau socso ini bolehlah membuat rujukan tarih terima ; A company must remit the contribution sum to perkeso office before the end of the asked questions (faqs) · contribution table & rates (jadual caruman socso) malacca (7 march ): Kadar caruman adalah tertakluk kepada jadual. Kadar caruman kembali pada 11 berkuat kuasa januari 2018 kwsp astro awani. Contohnya, jika gaji pekerja berjumlah nota: A company is required to contribute socso for its staff/workers according to the socso contribution table & rates as determined by the act.

Ia membantu pekerja untuk menyemak daftar akaun iperkeso. Download lagu jadual caruman socso 7.53mb dan streaming kumpulan lagu jadual caruman socso 7.53mb mp3 terbaru di metrolagu dan nikmati hasil diatas adalah hasil pencarian dari anda jadual caruman socso mp3 dan menurut kami yang paling cocok adalah jadual caruman. Sila rujuk jadual di bawah ini Contribution table & rates (jadual caruman socso) a company is required to contribute socso for its staff workers according. Kadar caruman berkanun syer pekerja berubah daripada 8% kepada 11% majikan dikehendaki membayar caruman syer pekerja berdasarkan jadual ini.

Kadar Caruman Perkeso 2018 6aeÅ
Kadar Caruman Perkeso 2018 6aeÅ"ˆ1a A A Socso AeÅ" Ae Cs Kadar Sql Account Oneplus Resources Facebook Kadar Caruman Sip Jadual Eis Perkeso Untuk Gaji Rm1750 Soponyono from i0.wp.com
Perhatian buat caruman kumpulan wang simpanan pekerja (kwsp) yang ingin mengetahui kadar caruman syer pekerja terkini. If someone is 60yrs 10 mths currently socso contribution is by employer only, no employee contributiondoes it mean he has to contribute 2 mths eis? Kadar caruman bagi sip adalah campuran 0.2% syer majikan dan 0.2% syer pekerja daripada gaji bulanan pekerja. A company is required to contribute socso for its staff/workers according to the socso contribution table & rates as determined by the act. Kadar caruman adalah tertakluk kepada jadual. Pcb, epf, socso, eis and income tax calculator. A company must remit the contribution sum to perkeso office before the end of the asked questions (faqs) · contribution table & rates (jadual caruman socso) malacca (7 march ): Pencen tersebut adalah pencen penakat,pencen ilat,pencen faedah bagi anda yang menerima bayaran faedah bulanan perkeso atau socso ini bolehlah membuat rujukan tarih terima ;

Formula pengiraan sebenar kadar caruman kwsp dan socso 2019 untuk pekerja termasuk potongan majikan.

Untuk makluman anda, semakan jadual caruman sip perkeso 2021 boleh dibuat secara online menerusi portal rasmi perkeso. Kadar caruman bagi sip adalah campuran 0.2% syer majikan dan 0.2% syer pekerja daripada gaji bulanan pekerja. Jumlah wang yang ditolak daripada gaji hanyalah rm6.10 daripada syer pekerja sahaja. Jadual kadar caruman kwsp 2021 terkini spa. Published on oct socso contribution schedule jadual caruman socsodocuments · the social security organisation. Pencen tersebut adalah pencen penakat,pencen ilat,pencen faedah bagi anda yang menerima bayaran faedah bulanan perkeso atau socso ini bolehlah membuat rujukan tarih terima ; Kadar caruman adalah tertakluk kepada jadual. Kadar peratusan bagi pekerja ialah sebanyak 11% yang bermaksud 11% daripada gaji akan ditolak dan dicarumkan dalam akaun epf. Perhatian buat caruman kumpulan wang simpanan pekerja (kwsp) yang ingin mengetahui kadar caruman syer pekerja terkini. Insurans ini, yang dikawal oleh employment insurance system act 2017 dan juga ditadbir oleh sip socso. The eligibility for invalidity pension for social. Sila rujuk jadual di bawah ini A company is required to contribute socso for its staff/workers according to the socso contribution table & rates as determined by the act.

Related : Jadual Caruman Socso 2018 : Kadar caruman berkanun syer pekerja berubah daripada 8% kepada 11% majikan dikehendaki membayar caruman syer pekerja berdasarkan jadual ini..