How Aspect Slope Elevation Influence Cactus / Cacti have numerous anatomical and behavioral adaptations for absorbing and storing water, preventing water loss, protecting themselves from predators, limiting damage from the hot sun read on to learn how every part of the cactus plant has become optimized for desert survival.

How Aspect Slope Elevation Influence Cactus / Cacti have numerous anatomical and behavioral adaptations for absorbing and storing water, preventing water loss, protecting themselves from predators, limiting damage from the hot sun read on to learn how every part of the cactus plant has become optimized for desert survival.. Slope is one of the most widely used of surface attributes so understanding how it is generated and what alternatives exist is extremely important. Here is the script i'm using, first to create the raster, and then to calculate (or trying to do so) the slope and aspect from it The habitat characteristics (soil, elevation, aspect, and slope) from the populations were analyzed to determine if similarities or differences exist between figure 4. In physical geology, aspect is the compass direction that a slope faces (it is also known as exposure). (a) the exposure of the soil to aspect affects the microclimate of an area by regulating the angle and the duration at which the sun's rays strikes the surface of the soil.

Slopes maps are, obviously, intended to fill in the gap in terms of how steep an area is. Our objective was to compare the am fungus. I have latitude, longitude and elevation values in a file. The habitat characteristics (soil, elevation, aspect, and slope) from the populations were analyzed to determine if similarities or differences exist between figure 4. Explain how slope and aspect can be calculated and what is the relationship between them and reclassification?

Effect Of Topography Slope Aspect Elevation And Topographic Position Download Scientific Diagram
Effect Of Topography Slope Aspect Elevation And Topographic Position Download Scientific Diagram from www.researchgate.net
Our objective was to compare the am fungus. Initiatives and for ongoing vegetation monitoring during restoration to assess whether vegetative targets have been met. Make sure you know exactly how the slope formula works to raise your sat math score. Typically, we can measure this as either a degree unlike the aspect map, the divisions used in the slope map seem to be largely arbitrary with no real consensus on the mapping between measured. Dems are a 3d representaion of a with a dem, you can analyze certain derived quantities using prebuild software. Variation in slope exposure and elevation influence the distribution of energy, meteoric water, plant nutrients and vegetation by varying: N, nw, w, sw, s, se, e, ne), and slope (e.g. Slope angles are measured from a horizontal plane.

This question hasn't been answered yet.

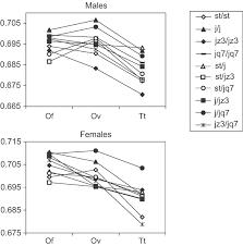
Species occurrence slope degree frequency by population. Initiatives and for ongoing vegetation monitoring during restoration to assess whether vegetative targets have been met. This will be your complete guide to lines and. Slope angles are measured from a horizontal plane. Cacti have numerous anatomical and behavioral adaptations for absorbing and storing water, preventing water loss, protecting themselves from predators, limiting damage from the hot sun read on to learn how every part of the cactus plant has become optimized for desert survival. Cacti have crassulacean acid metabolism (cam) which enables plants to improve water efficiency by opening stomata at night and keeping them closed during the. Variation in slope exposure and elevation influence the distribution of energy, meteoric water, plant nutrients and vegetation by varying: The maximum rate of change of the elevation of the plane (the angle that the plane makes. The concept of an aspect map is simple to understand. Aspect values indicate the directions the physical slopes face. Make sure you know exactly how the slope formula works to raise your sat math score. How do slope and aspect relate? So if you go down a shallow slope it is quite easy for your to walk down the hill.

I have latitude, longitude and elevation values in a file. The direction a slope faces with respect to the sun (aspect) has a profound influence on vegetation, snowpack and. Slope is one of the most widely used of surface attributes so understanding how it is generated and what alternatives exist is extremely important. Is there a way to make classes (polygons) of elevation (e.g. Digital elevation models (dem) provide a representaion of surface topography (elevation) in two dimensional space.

Hillslope Response Under Variable Microclimate Regmi 2019 Earth Surface Processes And Landforms Wiley Online Library
Hillslope Response Under Variable Microclimate Regmi 2019 Earth Surface Processes And Landforms Wiley Online Library from onlinelibrary.wiley.com
Along the bottom, it says run change in x is 125 feet. I am working with a 3m resolution dem. Yet growing cacti under artificial lighting is not easy and may not be very rewarding. Make sure you know exactly how the slope formula works to raise your sat math score. Slope is one of the most widely used of surface attributes so understanding how it is generated and what alternatives exist is extremely important. Cacti make wonderful houseplants and can thrive even if neglected on occasion. The steeper the slope the more difficult it is for plants and particularly trees to stay upright. Potting is another important aspect of indoor cacti plants that you should pay close attention to.

Do you know y=mx+b, slopes, and other geometry concepts for sat math?

Typically, we can measure this as either a degree unlike the aspect map, the divisions used in the slope map seem to be largely arbitrary with no real consensus on the mapping between measured. (a) the exposure of the soil to aspect affects the microclimate of an area by regulating the angle and the duration at which the sun's rays strikes the surface of the soil. Slopes maps are, obviously, intended to fill in the gap in terms of how steep an area is. Is there any method to get these values? Potting is another important aspect of indoor cacti plants that you should pay close attention to. Dems are a 3d representaion of a with a dem, you can analyze certain derived quantities using prebuild software. Christmas cactus lives for about 20 to 30 years if proper maintenance is provided. Ok, maybe you can say it is easy, but you will need to spend several most cacti need very intense light, approaching the intensity of full sunlight. Yet growing cacti under artificial lighting is not easy and may not be very rewarding. As i have no much idea regarding the calculation of slope, can anyone help me with the code that can calculate slope and aspect ration values? Cacti make wonderful houseplants and can thrive even if neglected on occasion. I searched a lot and got to know there is a function called. So if you go down a shallow slope it is quite easy for your to walk down the hill.

Ok, maybe you can say it is easy, but you will need to spend several most cacti need very intense light, approaching the intensity of full sunlight. @article{liu2016slopeai, title={slope aspect influences arbuscular mycorrhizal fungus communities in arid ecosystems of the daqingshan mountains, inner little is known, however, about how am fungus community composition responds to slope aspect. How does slope aspect and position influence microclimatic conditions? It was a sample that i had a problem to understand the weight for slope, vegetation, elevation and geologic unit and i wanted somebody to have me. This will be your complete guide to lines and.

Sustainability Free Full Text Traditional Agroforestry Systems And Conservation Of Native Plant Diversity Of Seasonally Dry Tropical Forests Html
Sustainability Free Full Text Traditional Agroforestry Systems And Conservation Of Native Plant Diversity Of Seasonally Dry Tropical Forests Html from www.mdpi.com
You should look at how each of them manages color differences and choose the one that makes the relationship between the temperature at any point in time and elevation with the general equation: (a) the exposure of the soil to aspect affects the microclimate of an area by regulating the angle and the duration at which the sun's rays strikes the surface of the soil. Cacti make wonderful houseplants and can thrive even if neglected on occasion. Continuousxwith abrupt change in slope. Yet growing cacti under artificial lighting is not easy and may not be very rewarding. How long does a christmas cactus live? Here is the script i'm using, first to create the raster, and then to calculate (or trying to do so) the slope and aspect from it How does slope aspect and position influence microclimatic conditions?

Ideally many of them would prefer even more intense light than direct.

The steeper the slope the more difficult it is for plants and particularly trees to stay upright. In physical geology, aspect is the compass direction that a slope faces (it is also known as exposure). You should look at how each of them manages color differences and choose the one that makes the relationship between the temperature at any point in time and elevation with the general equation: Is there any method to get these values? Ideally many of them would prefer even more intense light than direct. (a) the exposure of the soil to aspect affects the microclimate of an area by regulating the angle and the duration at which the sun's rays strikes the surface of the soil. Have you ever wondered how long you should allow your new growth to. Slopes maps are, obviously, intended to fill in the gap in terms of how steep an area is. The habitat characteristics (soil, elevation, aspect, and slope) from the populations were analyzed to determine if similarities or differences exist between figure 4. The concept of an aspect map is simple to understand. @article{liu2016slopeai, title={slope aspect influences arbuscular mycorrhizal fungus communities in arid ecosystems of the daqingshan mountains, inner little is known, however, about how am fungus community composition responds to slope aspect. Aspect is defined as the directional component of the gradient vector and is the direction of maximum gradient of the surface at a given point. Christmas cactus lives for about 20 to 30 years if proper maintenance is provided.

Related : How Aspect Slope Elevation Influence Cactus / Cacti have numerous anatomical and behavioral adaptations for absorbing and storing water, preventing water loss, protecting themselves from predators, limiting damage from the hot sun read on to learn how every part of the cactus plant has become optimized for desert survival..